• Phone (02) 7751-0849
  • inquiry@lmalaw.org
  • 6805 Ayala Avenue, Makati City
LMA Law LMA Law

Sidebar

  • Home
  • About us
    • About LMA
    • The Partners
    • Adminstrative
    • Mission And Vision
    • Galleries
  • Practice Areas
    • Taxation
    • Corporate
  • Our Clients
    • Testimonials
  • Articles
  • Online Consultation
  • Careers
  • Contact Us
  • Home
  • About us
    • About LMA
    • The Partners
    • Adminstrative
    • Mission And Vision
    • Galleries
  • Practice Areas
    • Taxation
    • Corporate
  • Our Clients
    • Testimonials
  • Articles
  • Online Consultation
  • Careers
  • Contact Us

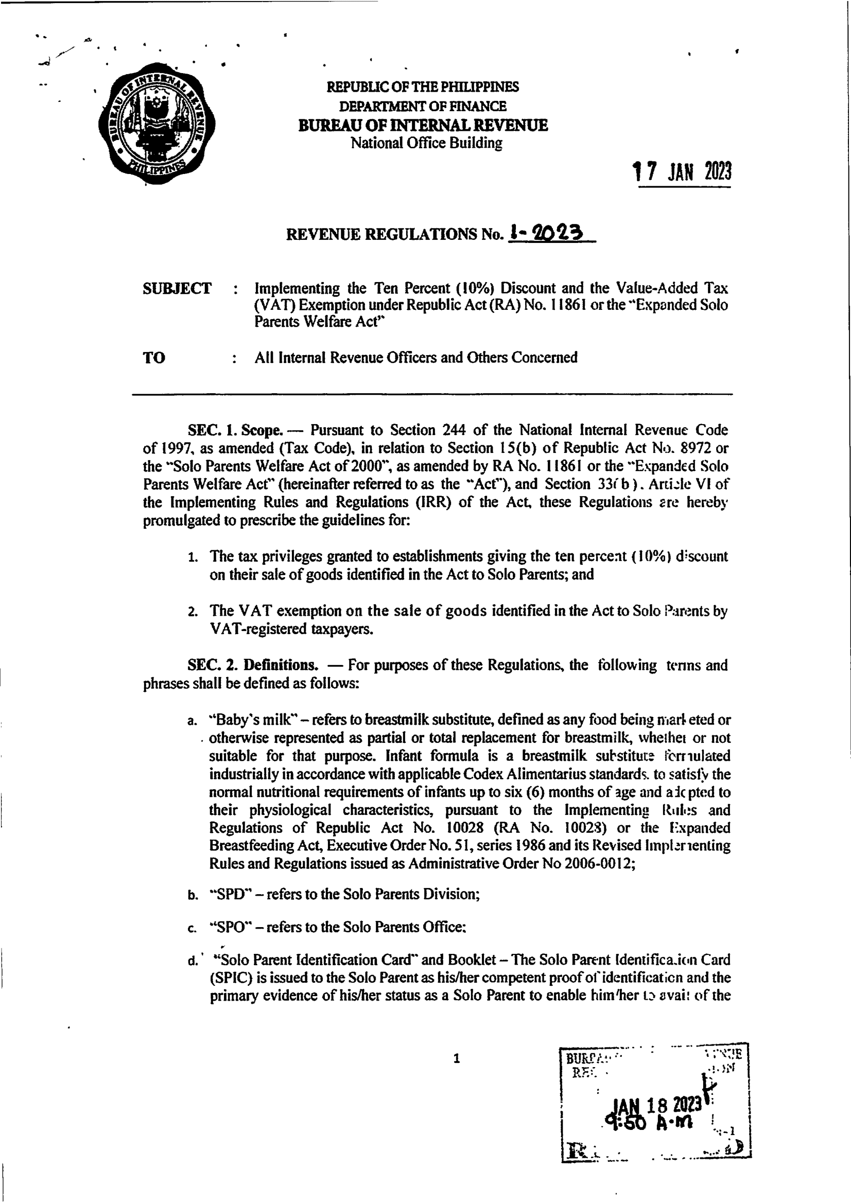
BIR Revenue Regulations No. 1-2023

Details
Empty
  •  Print 
  • Email

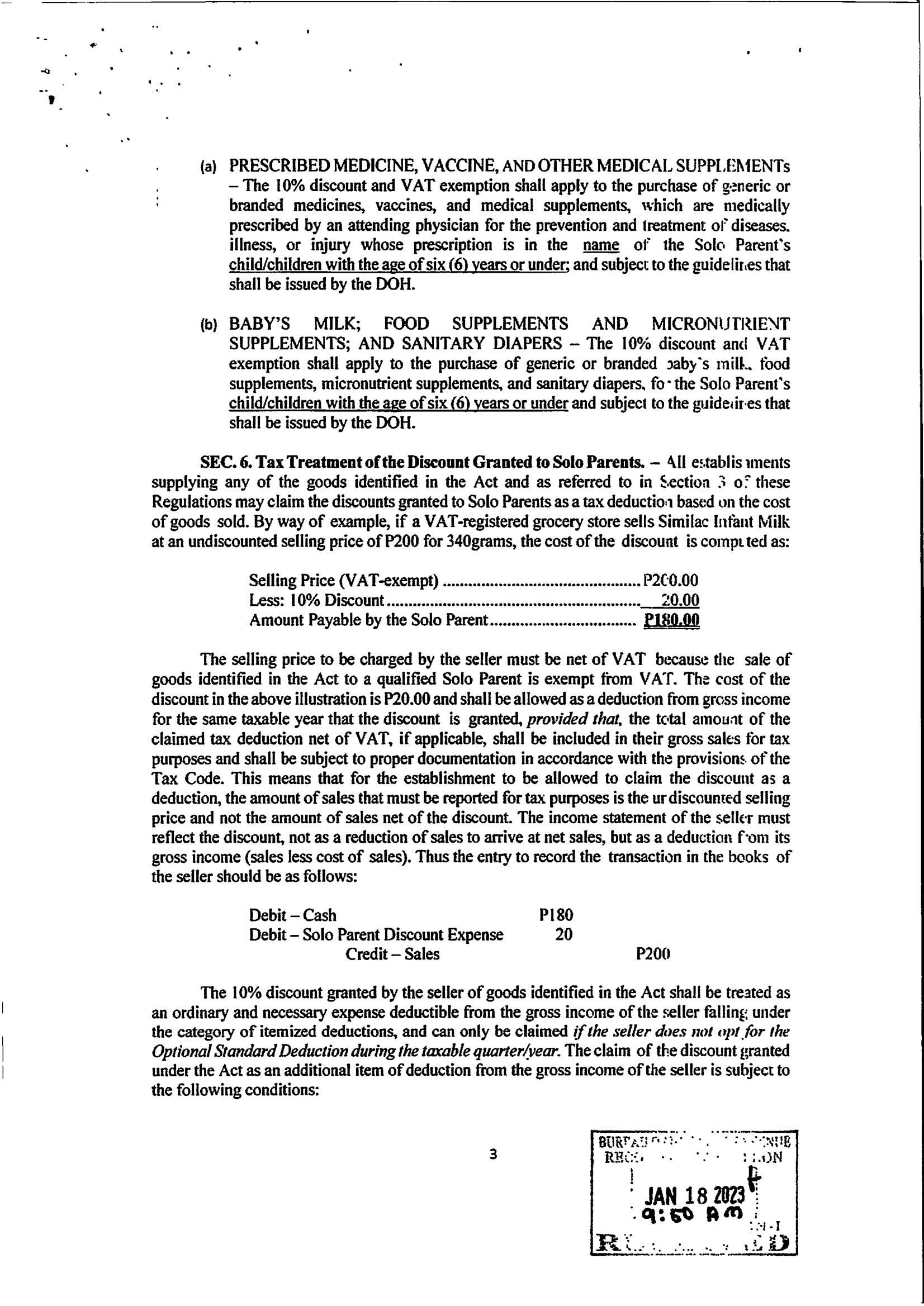
Implements the Ten Percent (10%) Discount and the VAT Exemption under RA No. 11861 (Expanded Solo Parents Welfare Act).

(Published in Manila Times on January 23, 2023)\

RR No. 1-2023 (1)-3.pngRR No. 1-2023 (1)-2.pngRR No. 1-2023 (1)-1.pngRR No. 1-2023 (1)-5.pngRR No. 1-2023 (1)-4.png


  • Next
logo.png

LMA Law is a team of passionate, creative and qualified advocates of law.

Shared among this team is the mastery of taxation and corporation law gained from working in top auditing and law firms in the Philippines.

More About us

What we do

  • Taxation
  • Corporate

latest news

COVID-19 Issuances

May, 13 2020

New BIR Notice to the Public

December, 17 2019

Contact us

  • 12th Floor, Unit 12D Multinational Bancorporation Center, 6805 Ayala Avenue, Makati City Philippines
  • Mobile: +63 917 728 8628
  • Phone: (02) 7751 0849
  • Telefax: (02) 8808 0258
  • inquiry@lmalaw.org
  • Legal
  • Sitemap
  • Privacy policy
  • Terms & Condition